The Korean Journal of Internal Medicine

Search

Close

21세기 다발골수종의 단일 기관 현실 세계 경험

21세기 다발골수종의 단일 기관 현실 세계 경험

조형우, 김신, 이경민, 강은희, 박정선, 서철원

Single-Center Real-World Experience of Multiple Myeloma in the 21st Century

Hyungwoo Cho, Shin Kim, Kyoungmin Lee, Eun Hee Kang, Jung Sun Park, Cheolwon Suh
Received September 23, 2021;       Revised November 8, 2021;       Accepted November 21, 2021;
Abstract
목적
21세기 들어 우리나라 다발골수종 발생 수가 급속히 증가하고 있으며, 진단 기준이 새로워지고, 신약이 계속 개발 적용되고 있다. 이에 최근 15년여 동안 서울아산병원에서 진단한 다발골수종 환자들의 현실 세계 경험을 분석 보고 한다.
방법
다발골수종 환자 사항들을 전향적으로 기록한 서울 아산병원 다발골수종 등록 자료를 이용하였다. 탈리도마이드 투여가 가능해진 2003년부터 2년 생존 자료를 얻을 수 있는 2019년 4월 사이에 진단된 774명의 다발골수종 환자를 대상으로 하였다. 자가 조혈모세포 이식술 시행 가부가 정해지는 65세를 기준으로 나누어 각 군의 특성을 분석하였다. 연도군은 보르테조밉이 가용해진 2006년, 레날리도마이드가 보험 적용되는 2010년을 기준으로 나누어 살폈다.
결과
65세 미만 환자군이 65세 이상군보다 양호한 예후 인자를 갖고 있었다. 호주/뉴질랜드의 골수종 및 연관 질환 등록 자료 보고와 비교할 때 의미 있는 인종적, 지리적 차이를 보이지 않았다. 전체 환자의 중앙 생존 기간은 3.7년, 5년 전체 생존율은 41.8%, 10년 생존율은 23.4%였다. 65세 미만군이 65세 이상군보다 생존 성적이 우수하였고, 시대가 흐름에 따라 생존 성적이 계속 향상되었다. 전체 환자군에서 연령, 수행 능력, 신 기능, 혈청 C-반응단백 수치, 혈청 젖산탈수소 효소 수치, 염색체 이상 등이 의미 있는 예후인자들이었다.
결론
이 보고는 21세기 초, 대한민국의 한 3차 기관에서 새로이 진단한 다발골수종 환자들의 현실 세계 경험을 보여 준다.
Abstract
Background/Aims
The incidence of multiple myeloma (MM) in Korea is rapidly increasing. The diagnostic criteria of MM have been updated and novel therapeutic agents are available. This study explored the features of MM patients registered at Asan Medical Center (AMC) and the outcomes over the past 15 years.
Methods
Data were obtained from the AMC MM registry, which has been collecting the data of MM patients prospectively. The 774 MM patients included in our analysis were diagnosed from 2003, when thalidomide became available as a novel therapeutic agent, until April 2019. The 2-year survival rate of these patients was assessed. Patients were divided into two groups based on whether they were older or younger than 65 years, which is the cutoff age for the indication of autologous stem cell transplantation. Patients were also grouped according to the year of diagnosis: up to 2006, when bortezomib became available, and up to 2010, when the cost of lenalidomide was reimbursed.
Results
Patients < 65 years of age had better prognostic features, including a better performance, less advanced disease stage, and fewer abnormalities in their fluorescent in-situ hybridization (FISH) analysis results. A comparison of our Korean patients with patients registered in the Myeloma Related Disorder Registry data of Australia and New Zealand, showed ethnic discrepancies. The median overall survival of all patients was 3.7 years, with a 5-year survival rate of 41.8% and a 10-year survival rate of 23.4%. Survival progressively improved in patients diagnosed later. Age, performance status, renal function, C-reactive protein level, lactate dehydrogenase level, and cytogenetic findings were identified as significant prognostic factors.
Conclusions
This real-world survey revealed the clinical features and survival rates of patients at a tertiary Korean Hospital who were diagnosed with MM at the beginning of 21st century.
서 론
서 론
우리나라 다발골수종의 발생은 21세기에 들어서면서 급 속히 증가하고 있다[1]. 중앙암등록본부에 의하면 2018년도에 총 1,719명의 새로운 다발골수종 환자가 발생하였고, 그해에 953명이 다발골수종으로 사망하였으며, 당시 유병 환자 수는 7,008명이었다[2]. 다발골수종의 조발생률은 10만 명당 3.4, 연령 표준화 발생률은 10만 명당 1.7이었다.
새로이 진단된 다발골수종과 재발/진행한 다발골수종의 치료에 대하여 최근 국내 학술지에 발표된 종설을 살피면, 21세기 들어 많은 신약들이 개발되고 임상에 적용되면서 치료 성적이 현저히 향상되었다[3,4].
우리나라 다발골수종 역학의 자세한 기술과 함께, 2005년결성된 대한다발골수종연구회의 연구 결과 정리 보고가 2016년에 있었다[1]. 대한다발골수종연구회는 다양한 연구와 함께, 망 기반 등록 체계를 구축하고 그 자료로 우리나라 다발골수종의 임상 특성과 생존 결과를 2009년도에 보고하였다[5]. 이 연구는 총 3,209명의 우리나라 다발골수종 환자 등록 자료를 다양하게 분석하여 진단 시 특성과 치료법에 따른 생존 결과를 보고하면서 다기관 범 국가 등록 자료에 기반한 보고로는 아시아 지역 최초라고 하였다.
2000년도에 당시의 서울중앙병원이 다발골수종 환자 122명의 치료 경과와 생존 성적 및 예후인자를 분석, 발표하였으나 20세기의 진단 기준과 치료 약제, 전략을 적용한 보고였다[6]. 그 밖에도 특정 상황의 다발골수종 환자들에서 특정 요법의 성적을 살피는 국내 연구들이 다수 있었는데, 우리 글로 발표한 우리나라 다발골수종 환자의 전반적 특징, 치료 경과를 연구한 보고는 찾을 수 없었다. 그나마 외국어로 된 논문도 다발골수종 환자 전반적 상황을 살핀 것은 앞서 언급한 2009년도의 망 기반 등록 자료 분석이 유일하다[5]. 대한다발골수종 연구회의 이 논문 발표 후 다발골수종의 진단과 치료에 변화들이 있어 왔다.
2014년도에 International Myeloma Working Group (IMWG) 이 다발골수종 진단의 새로운 기준을 발표하여, 기존의 2003년도 IMWG 진단 기준을 대체한다[7,8]. 새로운 치료 약제로 레날리도마이드, 포말리도마이드, 카르필조밉, 다라투무맵 등이 우리나라 건강보험에 등재된다.
이러한 변화, 즉 각 시기에 유효한 다발골수종 진단 기준을 적용하고, 신약 치료 도입 이후의 생존 성적을 분석한 울산대학교 의과대학 서울아산병원 단일 기관의 현실 세계 경험을 살펴서, 21세기 현재 시점의 다발골수종 진단과 치료를 정리함으로써 앞으로의 기초 자료를 제공하고자 하였다.
대상 및 방법
대상 및 방법
연구 대상
연구 대상
우리나라에서 탈리도마이드 투여가 본격적으로 가능해진 2003년도 환자부터 시작하여 최소한 2년의 생존 경과를 살필 수 있는, 2019년 4월에 서울아산병원에서 다발골수종으로 진단받은 환자까지 모두 774명을 대상으로 하였다.
연구 방법
연구 방법
1993년 1월 이후 전향적으로 작성 중인 서울아산병원 다발골수종 등록 자료에서 대상 환자들의 기록을 추출하였다. 환자들의 기본 특성, 치료, 경과 자료를 분석하였다. 다발골수종 진단은 환자 진단 당시 유효한 2003년도 혹은 2014년도 IMWG 기준을 따랐고[7,8], 병기는 진단 당시 유효한 다발골수종 국제 병기 체계[9]와 개정 국제 병기 체계[10]를 따랐다. 치료 반응은 2016년도 IMWG의 합의 기준으로 구분하였다[11].
연구 기간 동안 자가 조혈모세포 이식술이 65세 미만에서만 보험 적용되었으므로, 65세를 기준으로 연령군을 나누어 조사 분석하였다. 진단 연대에 따른 분석은 보르테조밉이 본격 사용되는 2006년도, 레날리도마이드가 보험 적용되는 2010년도를 기준으로 하였다.
최근 호주/뉴질랜드의 ‘골수종 연관 질환 등록(Australian/New Zealand Myeloma and Related Disorder Registry, MRDR)’ 보고가 있어[12], 이 연구의 환자들 특성과 서울아산병원 다발골수종 환자 특성을 비교하였다.
통계 분석
통계 분석
범주형 변수들은 카이 제곱 검정으로 비교하였다. 전체 생존 기간은 진단 날짜부터 사망 또는 마지막 추적 날까지 카플란-마이어 방법으로 생존 기간을 구하고 로그 순위 검정법으로 비교하였다. 생존자들의 중도 절단 날짜는 2021년 4월 30일로 하였다. Cox 회귀 분석으로 생존 자료의 단변량, 다변량 분석을 하면서 각 군 별 생존 위험비를 구하고 분석하였다. p값이 0.05 미만일 때 통계적 의미를 두었고, 통계 분석은 SPSS ver. 24.0 (for Windows; SPSS Inc., Chicago, IL, USA)을 사용하였다.
결 과
결 과
연구 대상의 특성
연구 대상의 특성
전체 환자 774명의 진단 때 중앙 연령은 63세(범위 24-89세)였다. 2003-2005년 진단 환자군의 중앙 연령은 62세(범위 30-85세), 2006-2009년 환자군은 중앙 연령 62세(범위 24-82세), 2010년 이후 환자군에서는 중앙 연령이 64세(범위 36-89세)였다. 자가 조혈모세포 이식술의 건강보험 적용 대상인 65세 미만은 437명, 65세 이상은 337명이었다. 대상 환자들을 이 두 연령군으로 나누어 환자 특성을 비교하였다(Table 1). 65세 미만군에서 남성은 255명(58%), 65세 이상에서는 181명(54%)이었다. Eastern Cooperative Oncology Group (ECOG) 수행도는 65세 미만에서 2 이상이 105명(24%)이었고, 65세 이상에서는 118명(35%)으로 65세 이상군에서 ECOG 수행도가 불량한 환자가 많았다. 다발골수종 단백은 면역글로불린 G가 65세 미만에서 182명(42%), 65세 이상에서 161명(48%)으로 양 군 모두 가장 흔하였고, 면역글로불린 A가 그 다음이었다. 이어서 유리 경쇄형, 면역글로불린 D, M, E형들이 있었고, 비분비형은 각 군에서 7명(2%), 2명(1%)이었다.
골수종 정의 항목인 고칼슘혈증(C), 질소혈증(R), 빈혈(A), 뼈 병변(B)을 살피면, 진단 때 양성률이 C, R, A, B의 순서로 많아진다. C, R, B의 양성률은 두 연령군 사이에 차이가 없었고, A 항목만 65세 미만군의 241명(55%)에 비해, 65세 이상 군에서 218명(65%)으로 유의하게 많았다.
2014년도에 추가된 골수종 정의 항목인 골수 클론 형질세포 60% 이상(S), 혈청 유리 경쇄 비 100 이상(Li), 자기공명영 상에서 2개 이상의 국소 병변(M)은 S, Li, M 순으로 양성률이 많아지는 양상이었다. 조사 자료가 있는 65세 미만군에서 Li 상승이 50%에서 있어, 65세 이상군의 41%보다 많았다. S, M 항목 해당 환자 비율은 두 군 사이에 차이가 없었다. 국제 병기 결정 요소인 혈청 알부민 감소와 혈청 베타-2 저분자글로불린(beta-2 microglobulin, B2MG) 상승은 65세 이상군에서 더 흔하였다. 국제 병기 체계 1기 비율은 65세 미만군에서, 2, 3기 비율은 65세 이상군에서 더 많았다. 개정 국제 병기 기록은 65세 미만군 174명(40%), 65세 이상군 133명(39%)에서 결여되어 있었다. 자료가 있는 환자들의 개정 국제 병기도 1기는 65세 미만군에서, 2, 3기는 65세 이상군에서 더 많았다. 혈청 C-반응단백(C-reactive protein, CRP)과 혈청 젖산 탈수소효소(lactate dehydrogenase, LD) 수치 상승 환자 비율은 두 군 사이에 큰 차이가 없었다.
통상 세포 유전 검사의 염색체 이상은 두 연령군 사이에 의미 있는 차이는 보이지 않았다. 개정 국제 병기 체계에 해당하는 형광제자리부합 세포 유전 검사(fluorescent in-situ hybridization, FISH) 결과, 전체 이상 소견은 65세 이상에서 많았으나, 각 항목의 이상 비율은 두 연령군 사이에 의미 있는 차이가 없었다(Table 1).
MRDR 보고의 다발골수종 환자 특성과 서울아산병원 환자의 진단 때 임상 양상 중 각 보고에 모두 제시되어 분석 가능한 자료들을 비교한 결과, 대부분 큰 차이를 보이지 않았다(Table 2). 진단 때 중앙 연령이 서울아산병원 환자군은 63세로 MRDR의 67세에 비해 적었고, 다발골수종 진단 기준인 빈혈이 59% 대 8%로 서울아산병원 보고에서 현격하게 많았으며, 뼈 병변도 82% 대 59%로 서울아산병원 환자군에서 유의하게 빈번하였다. 이와 함께 자기공명영상 이상 또한, 서울아산병원 환자에서 82%로 MRDDR의 27%보다 훨씬 흔하였다. 그리고 염색체 이상 비율도 52% 대 34%로 서울아산병원 환자군에서 더 많았다.
치료
치료
다양한 유도요법이 시행되었는데(Table 3), 탈리도마이드, 보르테조밉 등의 신약 도입 이전의 치료가 65세 미만군의 34%에서, 65세 이상군은 23%에서 시행되었다. 여기에는 고용량 덱사메타존, 멜팔란 + 프레드니졸론 병용요법, 빈크리 스틴 + 아드리아마신 + 덱사메타존 3제 요법 등이 포함된다. 탈리도마이드 포함 요법은 각 연령군의 35%와 11%에서 동원되었고, 보르테조밉 포함 요법은 각기 2%, 46%의 환자에서 시행되었다. 자가 조혈모세포 이식술을 전제한 유도요법으로 인정한 보르테조밉 + 탈리도마이드 + 덱사메타존 3제병용요법은 자가 조혈모세포 이식술이 가능한 65세 미만군에서만 투여되었고, 110명(25%)이었다. 레날리도마이드 혹은 카르필조밉 근간의 치료 등이 주로 임상시험 참여를 통해 각 군에서 1%와 9%의 환자에서 시행되었다. 65세 미만군의 4%, 65세 이상군의 11%가 유도요법을 받지 않았다. 전체 환자군의 유도요법에 대한 반응은 엄격완전반응 4%, 완전반응 16%, 아주 좋은 부분반응 13%, 부분반응 31%, 최소반응 6% 로 전체 반응은 70%에서 있었다. 진행이 5%였고, 반응 평가를 못 한 경우가 15%였다.
65세 미만군에서 자가 조혈모세포 이식술은 1회 시행이 200명(46%), 직렬 이식이 36명(8%), 1차 이식 후 진행 소견으로 2차 시행이 64명(15%) 있었다. 유도요법을 시행하지 않은 17명을 포함해 모두 137명(31%)에서 자가 조혈모세포 이식술이 시행되지 않았다. 65세 이상군에서는 우리나라 건강보험 규정에 따라, 서울아산병원에서는 자가 조혈모세포 이식이 없었는데, 타원에서 자가 조혈모세포 이식술을 시행 받은 뒤 본원으로 전원 온 경우가 65세 이상군에서 3명(1%) 있었다. 구제요법 1차, 2차에서는 시간 흐름의 영향도 받으면서 유도요법에 비해 신약 근간 요법 종류가 늘어나고, 반응 범주 비율은 유도요법 결과와 비슷한 양상을 보였다. 우리나라 다발골수종 환자 치료에 신약들이 본격적으로 사용되는 2010년 이후의 치료를 살피면(Table 4), 유도요법과 구제요법 모두에서 신약 기반의 치료가 많아지는 추세를 보였다. 각 요법의 반응 범주 비율은 전체 환자군의 성적과 비슷하였다.
생존 성적
생존 성적
생존 환자의 중앙 추적 기간은 5.97년(범위 0.06-17.93년)이었다. 전체 환자의 중앙 생존 기간은 3.7년(95% 신뢰구간 3.2-4.1년) 5년 전체 생존율은 41.8% (95% 신뢰구간 38.3-45.3%), 10년 전체 생존율은 23.4% (95% 신뢰구간 19.7-27.1%)였다 (Fig. 1).
65세 기준 두 연령군의 전체 생존 곡선은 통계적으로 의미 있는 차이가 있었다(Fig. 2). 65세 미만군의 중앙 생존 기간은 5.0년(95% 신뢰구간 4.2-5.8년), 65세 이상군은 2.5년 (95% 신뢰구간 2.0-3.0년)이었다. 65세 미만군의 5년 생존율은 50.2% (95% 신뢰구간 45.3-55.1%), 65세 이상군은 30.6% (95% 신뢰구간 25.3-35.9%)였다. 10년 생존율은 65세 미만군에서 30.8% (95% 신뢰구간 25.5-36.1%), 65세 이상군은 13.3% (95% 신뢰구간 8.4-18.2%)를 보였다(Fig. 2A).
연령대를 10년 간격으로 세분하여 살핀 생존 곡선은 고령군일수록 통계학적으로 의미 있게 성적이 불량해졌는데(Fig. 2B), 각 연령대의 중앙 생존 기간은 45세 미만군이 4.2년 (95% 신뢰구간 1.8-6.6년), 45-54세군은 6.1년(95% 신뢰구간 4.2-8.0년), 55-64세군은 4.2년(95% 신뢰구간 3.2-5.3년), 65-74세군의 경우 2.9년(95% 신뢰구간 2.3-3.5년)이었으며, 75세 이상군은 1.4년(95% 신뢰구간 0.8-2.0년)이었다. 5년 생존율은 45세 미만군 45.2% (95% 신뢰구간 29.7-60.7%), 45-54세군 57.6% (95% 신뢰구간 49.4-65.8%), 55-64세군은 46.7% (95% 신뢰구간 40.2-53.2%), 65-74세군이 35.4% (95% 신뢰구간 28.9-41.9%), 75세 이상군에서는 18.5% (95% 신뢰구간 10.1-26.9%)였다. 10년 생존율은 45세 미만군 27.8% (95% 신뢰구간 12.3-4.3.3%), 45-54세군 38.2% (95% 신뢰구간 28.8-47.6%), 55-64세군 26.7% (95% 신뢰구간 19.6-33.8%), 65-74세군 14.6% (95% 신뢰구간 8.3-20.9%), 75세 이상군은 9.5% (95% 신뢰구간 2.2-16.7%)였다.
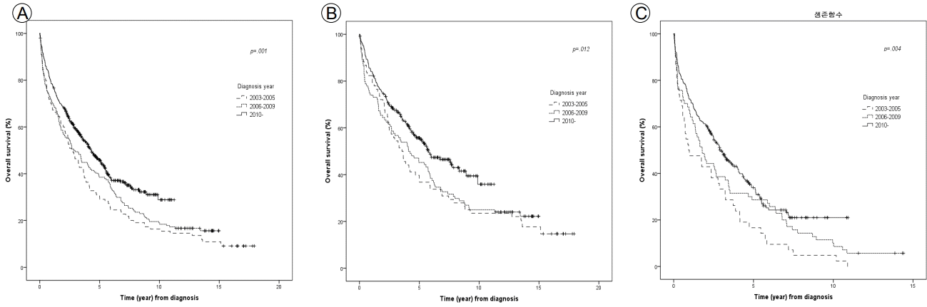
새로운 약제의 도입 시점으로 구분한 시기 별 전체 환자의 생존 성적은 시간의 흐름과 함께 호전되었는데(Fig. 3A), 2003-2005년 진단 환자군의 중앙 생존 기간은 2.7년(95% 신뢰구간 1.9-3.4년), 2006-2009년 환자군은 2.8년(95% 신뢰구간 1.9-3.7년), 2010년 이후 환자군은 4.3년(95% 신뢰구간 3.6-5.0년)이었다. 5년 생존율은 2003-2005년 진단 환자군에서 30.0% (95% 신뢰구간 21.4-38.6%), 2006-2009년은 38.5% (95% 신뢰구간 31.2-45.8%), 2010년 이후 군은 45.9% (95% 신뢰구간 41.2-50.6%)였다. 10년 생존율은 2003-2005년군에서 16.4% (95% 신뢰구간 9.5-23.2%), 2006-2009년군은 19.0% (95% 신뢰구간 13.1-24.9%), 2010년 이후 군은 28.8% (95% 신뢰구간 22.1-35.5%)였다. 65세를 기준으로 한 두 연령군의 생존 성적 또한 연대 시기에 따라 향상되었다(Fig. 3B, C).
임상시험에 참여하였던 94명과 참여하지 않았던 680명의 생존 성적 비교 결과, 참여군의 중앙 생존 기간은 5.73년 (95% 신뢰구간 5.63-5.83년)으로 비참여군의 3.42년(95% 신뢰구간 3.28-3.46년)보다 의미 있게(p= 0.010) 길었다(Fig. 4).
예후인자 분석
예후인자 분석
예후인자를 살피고자 전체 그리고 65세 미만, 65세 이상군에서 환자 특성에 따른 생존 기간의 단변량 Cox 회귀 분석을 시행하였다(Table 5). 전체 환자군에서는 연령 65세 미만, ECOG 수행도 0-1이 양호한 예후인자였다. 골수종 정의 항목 중에서 Li, M, B는 예후인자로서 의미가 없었고, S, C, R, A 항목이 음성일 때 예후가 좋았다. 다발골수종 단백은 면역글로 불린 D가 예후가 나빴다. CRP 0.6 mg/dL 이하, LD 250 IU/L 이하일 때 위험비가 양호하였다. 국제 병기 체계 1기군이 2-3기군보다 예후가 좋았고, 염색체 검사가 정상인 경우 위험비가 양호하였다. 다변량 Cox 회귀 분석 결과(Table 6), 전체 환자들에서는 65세 미만, ECOG 수행도 0-1, R 항목 음성, CRP 0.6 mg/dL 이하, LD 250 IU/L 이하, 염색체 검사가 정상인 경우, 위험비가 낮았다.
유도요법 후 재발 없이 10년 이상 무병 생존한 50명의 환자와 치료에 실패하고 10년 이내에 사망한 322명의 특성을 분석한 결과(Table 7), 신체 활동도, 신 기능, 골수 형질세포 60%, 혈청 유리 경쇄 비율, B2MG 수치, 국제 병기 체계 병기, 개정 국제 병기 체계 병기, CRP, LD, 골수 염색체 검사, FISH의 일반 이상, 개정 국제 병기 체계 해당 FISH 중 4번, 14번 전위 항목 등이 두 환자군 사이에 의미 있는 차이를 보였다.
2차 원발 악성종양 양상
2차 원발 악성종양 양상
경과 중 형질세포백혈병이 7예, 뇌 실질 형질세포종 1예 등 모두 7예에서 공격형 형질세포질환으로의 진행이 있었다. 2차 원발 악성종양이 18예에서 관찰되었는데, 혈액종양 6예, 고형 종양이 12예였다. 혈액종양으로는 급성골수성백혈병 2예, 골수형성이상증후군 2예, 외투세포림프종 1예, 혈구탐식림프 조직구증 1예가 있었다. 고형 종양으로는 식도암, 위암, 대장암, 직장암, 항문암, 비소포폐암, 편평상피 피부암, 유방암, 자궁내막암이 각 1예씩 있었다. 육종이 3예 있었는데, 악성 섬유조직구종, 평활근육종, 혈관육종이 1예씩이었다. 레날리도마 이드 등 각각 약제 노출 이력, 자가 조혈모세포 이식술 이행 여부 등과 2차 원발 악성종양 발생 사이에는 유의한 관계가 없었다.
고 찰
고 찰
다발골수종의 역학과 생존 성적을 분석한 한 국외 보고는이 질환의 발생과 임상 양상, 경과 등이 인종 간에 차이가 있음을 언급한다[13]. 또한 세계 각 지역에 따라 다발골수종의 발생 빈도, 호발 연령, 임상 양상, 치료 성적이 다르다는 보고도 있다[14]. 그러므로 우리나라 어떤 질환의 양상을 외국과 비교하여 이러하다, 저러하더라 할 일이 아니라 우리가 진단하고 치료하는 우리나라의 다발골수종 환자들이 어떤 특징을 갖고 우리에게 다가오며, 치료에 따른 생존 성적은 어떠한지 우리 나름의 자료를 파악하는 것이 필요하다.
이러한 맥락에서 살필 때 본 연구의 몇 가지 기본 환자 특성 항목이 MRDR 보고[12]와 언뜻 달라 보이지만, 실제로 의미 있는 차이는 없으리라고 판단한다. 이 MRDR 보고는 44개기관에서 입력한 2,405명의 자료를 기반으로 하였는데, 수행 능력이나 LD 수치가 약 1,000여 증례에서 결여되는 등, 각종 자료의 수집이 충분히 제대로 이루어지지 않아서 발생한 현상으로 여겨진다.
우리나라 다발골수종의 발생, 임상 특성, 진단, 치료, 생존 성적 등에 대한 많은 보고가 있다[5,6,15-26]. 이들 우리나라 환자 보고 중에 2014년도의 다발골수종 정의 항목을 적용하여 우리의 임상 양상을 조사, 분석한 것은 없다. 이번 보고 단독으로 이른바 SLiM CRAB의 진단 때의 발생 빈도를 살피면 CRAB의 경우, 이미 오래 전에 서울아산병원 림프종/골수종 프로그램이 우리의 다발골수종 학술 모임에서 발표한 것처럼 CRAB의 순으로 양성 비율이 많아진다. 대략 C 10% 대, R 20% 대, A 60% 대, B 80% 대이다. SLiM 또한 우연인지 순서 그대로 양성 비율이 증가하는데, S는 20% 대, Li는 40% 대, M은 80% 대의 순서였다(Table 1).
우리나라 보고들 가운데 1989년 11월부터 1997년 4월까지 당시 서울중앙병원의 다발골수종 122예의 분석 보고[6]와 이번 결과를 비교할 때 당시는 20세기로서, 이른바 21세기의 최신 약제가 없던 시기였음을 감안하여야 한다. 20세기 보고 환자군의 중앙 연령은 61세(범위 32-80세)였는데, 이번 보고중 2003-2005년 환자군의 중앙 연령은 62세(범위 30-85세), 2006-2009년 환자군 중앙 연령은 62세(범위 24-82세)였다. 2010년 이후 환자군에서는 중앙 연령이 64세(범위 36-89세) 로 점차 증가하는 추세를 보였다. 20세기 보고에서 중앙 생존 기간은 21개월이었는데, 이번 21세기 보고는 3.7년으로 많이 향상되었고, 당시 5년 생존율 23.5%는 이번 분석에서는 41.8%, 나아가 이번 보고의 10년 생존율은 23.4%인데, 이는 20세기 보고의 5년 생존율 수준이다. 이번 보고 중 가장 최근 연대인 2010년 이후 환자군의 중앙 생존 기간은 4.3년으로 현격히 호전되었고, 5년 생존율은 45.9%를 보였다. 이러한 생존 성적 향상은 21세기 들어 사용 가능해진 최신 약제 치료와 자가 조혈모세포 이식의 적극 시술에 기인한 것으로 보인다.
망 등록 자료를 기반으로 한 우리나라 39개 기관의 3,209명 다발골수종 환자 보고[5]에서 다변량 분석 결과, 연령 65세이상, 불량한 수행 능력, 혈소판 수 감소, 혈청 알부민 수치 감소, 혈청 크레아티닌 수치 상승, 혈청 B2MG 수치 상승, 골수 외 골수종, 염색체 이상 등이 독립적 예후인자였다. 새로운 다발골수종 정의 항목에 따라 치료 전 특성을 살핀 이번 보고에서 연령 65세 이상, 수행 능력 불량, 혈청 크레아티닌 수치 상승, CRP 상승, LD 상승 그리고 염색체 검사 이상이 의미 있는 예후인자였다. 혈소판 수와 골수 외 골수종은 최근 들어 예후인자로서 그 의미가 약해져서 이번 보고에서는 이 항목들을 따로 조사 분석하지 않았다. 이번 예후인자 분석 항목에 자가 조혈모세포 이식술은 제외하였는데, 이는 진단 때 환자가 기초로 갖고 있는 질병 특성이 아니고 연령, 수행도, 사회 경제적 요건 등의 영향을 받는 인자이기에 배제하였다. 국제 병기 체계의 결정 요소인 혈청 알부민과 B2MG 수치 또한 각기 분석하는 대신 국제 병기 체계로 한꺼번에 묶어 위험비 등을 분석하였다. 개정 국제 병기 체계의 요소인 FISH 검사가 시행되지 않아, 개정 국제 병기를 부여할 수 없는 경우가 65세 미만군에 174명(40%), 65세 이상 군에 133명(39%) 있었다. 따라서 예후인자 분석에서 이 FISH, 개정 국제 병기는 제외하고 개정 국제 병기 체계의 다른 한 요소인 LD 수치는 예후 분석에 포함하였다.
65세 전후 각 연령군의 생존 위험도 다변량 분석 결과에서 R 여부, 유리 람다 형 골수종 단백, CRP 수치, LD 수치, 염색체 이상이 두 군 사이에 일치하지 않는 항목들이었다. 다른 15개여 이상의 항목을 분석한 결과 양 군에 별개로 의미 있는 예후인자가 없어서 사실 상 두 군은 연령 자체의 차이, 그로 인해 자가 조혈모세포 이식술이라는 다발골수종에서 절대적인 치료를 할 수 있는가의 차이 말고는 중차대한 의미를 갖는 구별인자는 없다고 할 수 있겠다.
이번 보고에서 자세히 기술하지 않은 자가 조혈모세포 이식술 관련 결과는 본 연구진이 따로 보고한 연구에 상술하였다[27]. 구 보고를 보면 다발골수종의 자가 조혈모세포 이식 성적이 시대가 흐르면서 좋아졌는데, 본 연구 분석에서도 전체 다발골수종 환자의 생존 성적이 시간대가 지나면서 향상되었다. 이러한 시대에 따른 성적 향상은 자가 조혈모세포 이식술의 발전과 더불어, 각 구별 시기마다 새로운 약제 치료를 도입하였기 때문으로 판단된다.
참여 자격을 특정해 제한하면서 극히 일부 환자에게만 적용하는 임상시험의 결과와 현실 세계 경험의 성적은 차이가 있게 마련이고, 실제 진료 일선에서 필요한 자료는 현실 세계 경험이라 하겠다. 이러한 측면에서 이번 보고는 분석 시점에서 가장 최신의 요법 시행 환자까지 포함하고 충분한 기간 동안 추적한 자료이며, 774명이라는 적지 않은 수를 대상으로 한 실제 진료 일선의 현실 세계 경험을 토대로 한 보고이다.
단일 기관의 자료라는 건 각종 성적의 해석에 한계점일 수 있지만, 이는 한편 일관된 원칙으로 진단, 치료하였다는 강점이 될 수도 있다. 후향 보고라고 여길 수 있는 내용이지만 환자들의 실제 임상 자료들은 방법에서 밝혔듯이, 전향적으로 정리한 등록 자료들을 토대로 분석한 결과이다. 치료, 특히 최신 약제들의 반응률, 반응 기간, 부작용 등의 자료를 제시하지 않았는데, 이는 탈리도마이드, 보르테조밉 등 신약 치료 때 여러 서로 다른 매우 다양한 조합으로 투여되어 특정 조합에 따른 결과 도출과 분석이 어려웠기 때문이다.
전 세계의 임상시험 진행을 보면 수많은 새로운 약제들이 다발골수종 치료에 계속 도입되어 환자들에게 큰 도움이 될것이고, 곧 키메라 항원 수용체 T-세포 치료도 활발해질 시점에서 있다. 이 보고는 바로 이때에 분석 정리한 21세기 초반의 대한민국 다발골수종 현실 세계 경험이다. 앞으로 우리나라 다발골수종의 교육, 진료, 연구에 기초 자료로서 도움이 되기를 희망한다.
Conflicts of Interest
Conflicts of Interest

CONFLICTS OF INTEREST

No potential conflict of interest relevant to this article was reported.

Notes
Notes

FUNDING

None.

Notes
Notes

AUTHOR CONTRIBUTIONS

Conception and design: Cheolwon Suh

Acquisition of data: Hyungwoo Cho, Shin Kim, Kyoungmin Lee, Eun Hee Kang, Jung Sun Park, Cheolwon Suh

Analysis and interpretation of data: Hyungwoo Cho, Shin Kim, Kyoungmin Lee, Cheolwon Suh

Manuscript writing: Hyungwoo Cho, Cheolwon Suh

Final approval of manuscript: Hyungwoo Cho, Shin Kim, Kyoungmin Lee, Eun Hee Kang, Jung Sun Park, Cheolwon Suh

Acknowledgments
Acknowledgments

그 누구보다도, 이러한 조사 분석 연구가 가능하도록, 다발골수종 진단과 치료의 현실 세계 경험을 함께 해 주신 환자분들과 보호자분들이 고맙습니다. 환자분들의 안녕을 빕니다.

이대호, 홍정용 교수 등이 지난 동안 다발골수종 환자 진료의 실제를 도왔습니다. 또한 환자 진료에 함께 애써 주신 관련 간호사 분들, 전공의, 임상 강사, 동료 교수진들이 계셔서 이 일이 가능했습니다. 특히, 제가 이 일을 하도록 이끌어 주신 김상희, 홍창기 두 분 교수님께 이 논문을 바칩니다.

Figure 1.
Overall survival of the study patients.
kjm-97-2-125f1.tif
Figure 2.
(A) Overall survival (OS) of patients < 65 years vs. those ≥ 65 years. (B) OS of patients ≤ 44 years, 45-54 years, 55-64 years, 65-74 years, and ≥ 75 years.
kjm-97-2-125f2.tif
Figure 3.
(A) Overall survival (OS) of patients according to the year of diagnosis: 2003-2005, 2006-2009, and 2010 or after (A) in all patients, (B) inpatients < 65 years, and (C) in patients ≥ 65 year of age at diagnosis.
kjm-97-2-125f3.tif
Figure 4.
Overall survival of patients who did or did not participate in a clinical trial.
kjm-97-2-125f4.tif
Table 1.
Characteristics of the patients at diagnosis
Variable Total Age group
p-valuea
< 65 years ≥ 65 years
Number 774 437 337
Male 436/774 (56) 255/437 (58) 181/337 (54) 0.197
ECOG PS 0.001
 0-1 541/764 (71) 322/427 (76) 219/337 (65)
 ≥ 2 223/764 (29) 105/427 (24) 118/337 (35)
Monoclonal protein 0.019
 IgG 343/759 (45) 182/429 (42) 161/330 (48)
 IgA 155/759 (20) 75/429 (17) 80/330 (24)
 IgD 40/759 (5) 26/429 (6) 14/330 (4)
 IgM 2/759 (0.3) 1/429 (0.2) 1/330 (0.3)
 IgE 1/759 (0.1) 1/429 (0.2) 0 (0)
 Free kappa 101/759 (13) 71/429 (16) 30/330 (9)
 Free lambda 108/759 (14) 66/429 (15) 42/330 (13)
 Non-secretory 9/759 (1) 7/429 (2) 2/330 (1)
CRAB
 C+ 91 (12) 57 (13) 34 (10) 0.217
 R+ 175 (23) 102 (23) 73 (22) 0.604
 A+ 459 (59) 241 (55) 218 (65) 0.008
 B+ 633 (82) 367 (84) 266 (79) 0.075
SLiM
 S+ 157/757 (21) 98/430 (23) 59/327 (18) 0.124
 Li+ 279/607 (46) 170/342 (50) 109/265 (41) 0.040
 M+ 413/502 (82) 241/287 (84) 172/215 (80) 0.288
Albumin < 3.5 gm/dL 492 (64) 248 (57) 244 (73) < 0.001
B2MG > 3.5 mg/L 496 (64) 259 (59) 237 (73) < 0.001
ISS < 0.001
 I 152/768 (20) 116/436 (27) 36/332 (11)
 II 310/768 (40) 160/436 (37) 150/332 (45)
 III 306/768 (40) 160/436 (37) 146/332 (44)
R-ISS < 0.001
 I 69/467 (15) 54/263 (21) 15/204 (7)
 II 316/467 (68) 167/263 (64) 149/204 (73)
 III 82/467 (18) 42/263 (16) 40/204 (20)
CRP > 0.6 mg/dL 278 (36) 159 (39) 119 (37) 0.741
LD > 250 IU/L 227 (29) 130 (31) 97 (30) 0.841
Cytogenetics abnormality 356/687 (52) 184/379 (49) 172/308 (56) 0.065
FISH abnormality
 Any 86/477 (18) 38/266 (14) 48/211 (23) 0.022
 Del(17p) 34/477 (7) 16/266 (6) 18/211 (9) 0.371
 T(4;14) 56/477 (12) 25/266 (9) 31/211 (15) 0.086
 T(14;16) 7/477 (2) 4/266 (2) 3/211 (1) 1.0

Values are presented as number/number (%) or number (%).

ECOG PS, Eastern Cooperative Oncology Group performance score; Ig, immunoglobulin; C, hypercalcemia; R, renal insufficiency; A, anemia; B, bone lesion; S, plasma cell ≥ 60%; Li, light chain ratio ≥ 100; M, MR lesion > 1; B2MG, beta-2 microglobulin; ISS, International Staging System; R-ISS, revised ISS; CRP, C-reactive plan; LD, lactate dehydrogenase; FISH, fluorescent in-situ hybridization.

a Between two age groups.

Table 2.
Characteristics at diagnosis of Korean patients compared to Australian/New Zealand patients registered in the Myeloma and Related Disorder Registry
Variable LMP MRDR p-value
Number 774 2,405
Median age at diagnosis (years) 63 (range: 24-89) 67 (IQR: 59-75)
Male 436 (56) 1,434/2,403 (60) 0.667
ECOG PS 0.194
 0-1 541/764 (71) 1,242/1,581 (79)
 ≥ 2 223/764 (29) 339/1,581 (21)
Monoclonal protein 0.428
 IgG 343/759 (45) 1436/2,321 (58)
 IgA 155/759 (20) 452/2,321 (19)
 IgD 40/759 (5) 17/2,321 (0.7)
 IgM 2/759 (0.3) 12/2,321 (0.5)
 IgE 1/759 (0.1) -
 Free kappa 101/759 (13) 281/2,321 (12)
 Free lambda 108/759 (14) 168/2,321 (7)
 Non-secretory 9/759 (1) 26/2,321 (0.8)
CRAB
 C+ 91 (12) 164/2,405 (7) 0.335
 R+ 175 (23) 598/2,405 (25) 0.869
 A+ 459 (59) 194/2,405 (8) < 0.001
 B+ 633 (82) 1427/2,405 (59) 0.001
 M+ 413/502 (82) 639/2,405 (27) < 0.001
ISS 0.328
 Stage I 152/768 (20) 463/1,745 (27)
 Stage II 310/768 (40) 741/1,745 (42)
 Stage III 306/768 (40) 541/1,745 (31)
R-ISS 0.351
 Stage I 69/467 (15) 123/1,220 (10)
 Stage II 316/467 (68) 936/1,220 (77)
 Stage III 82/467 (18) 161/1,220 (13)
LD > 250 IU/L 227 (29) 367/1,645 (22) 0.330
Cytogenetics abnormality 356/687 (52) 291/865 (34) 0.015
FISH for R-ISS abnormality 86/477 (18) 205/1,140 (18) 1.000

Values are presented as number/number (%) or number (%).

LMP, Lymphoma and Myeloma Program of Asan Medical Center; MRDR, Australian/New Zealand Myeloma and Related Disorder Registry; IQR: interquartile range; ECOG PS, Eastern Cooperative Oncology Group performance score; Ig, immunoglobulin; C, hypercalcemia; R, renal insufficiency; A, anemia; B, bone lesion; M, MR lesion > 1; ISS, International Staging System; R-ISS, revised ISS; LD, lactate dehydrogenase; FISH, fluorescent in-situ hybridization.

Table 3.
Treatment
Variable Total Age group
< 65 years ≥ 65 years
Number 774 437 337
Induction regimen
 Regimens prior to novel agents 225 (29) 147 (34) 78 (23)
 Thalidomide-based, except VTD 187 (24) 151 (35) 36 (11)
 Bortezomib-based, except VTD 165 (21) 9 (2) 156 (46)
 VTD 110 (14) 110 (25) 0 (0)
 Lenalidomide-based 28 (4) 3 (1) 25 (7)
 Carfilzomib-based 3 (0.4) 0 (0) 3 (0.9)
 Other novel agents 2 (0.3) 0 (0) 2 (0.6)
 None 54 (7) 17 (4) 37 (11)
Response to induction
 Stringent complete response 29 (4) 18 (4) 11 (3)
 Complete response 122 (16) 70 (16) 52 (15)
 Very good partial response 100 (13) 65 (15) 35 (10)
 Partial response 236 (31) 148 (34) 88 (26)
 Minimal response 43 (6) 22 (5) 21 (6)
 Stable disease 73 (9) 39 (9) 34 (10)
 Progressive disease 38 (5) 25 (6) 13 (4)
 Unknown 112 (15) 43 (10) 69 (21)
ASCT
 Single 203 (26) 200 (46) 3 (1)
 Tandem 36 (5) 36 (8) 0 (0)
 2nd after progression 64 (8) 64 (15) 0 (0)
 None 471 (61) 137 (31) 334 (99)
First salvage regimen
 Regimens prior to novel agents 46 (17) 32 (29) 14 (9)
 Thalidomide-based 37 (14) 9 (8) 28 (18)
 Bortezomib-based 104 (39) 58 (52) 46 (29)
 Lenalidomide-based 46 (17) 8 (7) 38 (24)
 Carfilzomib-based 31 (12) 5 (5) 26 (17)
 Other novel agents 6 (2) 0 (0) 6 (4)
Response to first salvage regimen
 Stringent complete response 12 (4) 7 (6) 5 (3)
 Complete response 43 (16) 17 (15) 26 (16)
 Very good partial response 42 (16) 21 (19) 21 (13)
 Partial response 95 (35) 37 (33) 58 (37)
 Minimal response 10 (4) 3 (3) 7 (4)
 Stable disease 28 (10) 10 (9) 18 (11)
 Progressive disease 17 (6) 9 (8) 8 (5)
 Unknown 23 (9) 8 (1) 15 (9)
Second salvage regimen
 Regimens prior to novel agents 12 (11) 4 (14) 8 (10)
 Thalidomide-based 31 (29) 10 (36) 21 (26)
 Bortezomib-based 28 (26) 10 (36) 18 (23)
 Lenalidomide-based 20 (19) 3 (11) 17 (21)
 Carfilzomib-based 3 (3) 0 (0) 3 (4)
 Pomalidomide-based 14 (13) 1 (4) 13 (16)
Response to second salvage regimen
 Stringent complete response 4 (4) 1 (4) 3 (4)
 Complete response 19 (18) 2 (7) 17 (21)
 Very good partial response 9 (8) 2 (7) 7 (9)
 Partial response 25 (23) 6 (21) 19 (24)
 Minimal response 8 (7) 2 (7) 6 (8)
 Stable disease 10 (9) 2 (7) 8 (10)
 Progressive disease 10 (9) 6 (21) 4 (5)
 Unknown 23 (21) 7 (25) 16 (20)

Values are presented as number (%).

VTD, bortezomib + thalidomide + dexamethasone; ASCT, autologous stem cell transplantation.

Table 4.
Treatment beginning in 2010
Variable Total Age group
< 65 years ≥ 65 years
Number 456 254 202
Induction regimen
 Regimens prior to novel agents 47 (10) 28 (11) 19 (9)
 Thalidomide-based, except VTD 120 (26) 120 (47) 0 (0)
 Bortezomib-based, except VTD 161 (35) 8 (3) 153 (76)
 VTD 97 (21) 97 (38) 0 (0)
 Lenalidomide-based 26 (6) 1 (0.4) 25 (12)
 Carfilzomib-based 3 (0.7) 0 (0) 3 (2)
 Other novel agents 2 (0.4) 0 (0) 2 (1)
Response to induction
 Stringent complete response 24 (5) 13 (5) 11 (5)
 Complete response 77 (17) 37 (15) 40 (20)
 Very good partial response 84 (18) 53 (21) 31 (15)
 Partial response 154 (34) 91 (36) 63 (31)
 Minimal response 15 (3) 10 (4) 5 (3)
 Stable disease 42 (9) 19 (8) 23 (11)
 Progressive disease 16 (4) 12 (5) 4 (2)
 Unknown 44 (10) 19 (8) 25 (12)
First salvage regimen
 Regimens prior to novel agents 26 (15) 20 (35) 6 (5)
 Thalidomide-based 22 (12) 0 (0) 22 (18)
 Bortezomib-based 49 (27) 26 (45) 23 (19)
 Lenalidomide-based 46 (26) 8 (14) 38 (31)
 Carfilzomib-based 30 (17) 4 (7) 26 (22)
 Other novel agents 6 (3) 0 (0) 6 (5)
Response to first salvage regimen
 Stringent complete response 3 (2) 1 (2) 2 (2)
 Complete response 33 (18) 10 (17) 23 (19)
 Very good partial response 32 (18) 12 (20) 20 (17)
 Partial response 66 (37) 21 (36) 45 (37)
 Minimal response 7 (4) 1 (2) 6 (5)
 Stable disease 15 (8) 4 (7) 11 (9)
 Progressive disease 9 (5) 5 (9) 4 (3)
 Unknown 14 (8) 4 (7) 10 (8)
Second salvage regimen
 Regimens prior to novel agents 7 (9) 3 (20) 4 (6)
 Thalidomide-based 15 (19) 4 (27) 11 (18)
 Bortezomib-based 19 (24) 4 (27) 15 (24)
 Lenalidomide-based 20 (26) 3 (20) 17 (27)
 Carfilzomib-based 3 (4) 0 (0) 3 (5)
 Pomalidomide-based 14 (18) 1 (7) 13 (21)
Response to second salvage regimen
 Stringent complete response 2 (3) 1 (7) 1 (2)
 Complete response 14 (18) 1 (7) 13 (21)
 Very good partial response 7 (9) 1 (7) 6 (10)
 Partial response 20 (26) 2 (13) 18 (29)
 Minimal response 6 (8) 2 (13) 4 (6)
 Stable disease 7 (9) 2 (13) 5 (8)
 Progressive disease 5 (6) 3 (20) 2 (3)
 Unknown 17 (22) 3 (20) 14 (22)

Values are presented as number (%).

VTD, bortezomib + thalidomide + dexamethasone.

Table 5.
Univariate Cox regression analysis for overall survival
Variable Total
Age < 65 years
Age ≥ 65 years
HR (95% CI) p-value HR (95% CI) p-value HR (95% CI) p-value
Age < 65 years 0.56 (0.47-0.66) < 0.001
ECOG PS 0-1 0.55 (0.45-0.66) < 0.001 0.64 (0.49-0.84) 0.001 0.52 (0.40-0.67) <0.001
SLiM CRAB
S (-) 0.75 (0.61-0.93) 0.007 0.66 (0.50-0.87) 0.003 0.81 (0.59-1.12) 0.206
Li (-) 0.83 (0.68-1.01) 0.063 0.68 (0.51-0.90) 0.008 0.93 (0.70-1.24) 0.614
M (-) 0.79 (0.58-1.09). 0.147 0.74 (0.46-1.19). 0.216 1.31 (0.86-2.00). 0.210
C (-) 0.71 (0.55-0.91) 0.007 0.68 (0.49-0.95) 0.025 0.66 (0.45-0.97) 0.032
R (-) 0.56 (0.46-0.68) < 0.001 0.52 (0.40-0.68) < 0.001 0.57 (0.43-0.76) < 0.001
A (-) 0.68 (0.57-0.81) < 0.001 0.66 (0.52-0.85) 0.001 0.78 (0.60-1.01) 0.064
B (-) 0.98 (0.78-1.24) 0.883 0.86 (0.60-1.21) 0.378 1.00 (0.74-1.36) 0.982
Monoclonal protein
IgG 0.91 (0.77-1.09) 0.308 0.76 (0.60-0.98) 0.031 1.07 (0.84-1.37) 0.581
IgA 0.90 (0.73-1.11) 0.333 0.84 (0.60-1.16) 0.288 0.82 (0.62-1.10) 0.181
IgD 1.57 (1.10-2.23) 0.013 1.73 (1.11-2.71) 0.016 1.61 (0.90-2.87) 0.111
Free kappa 0.99 (0.77-1.27) 0.926 1.05 (0.76-1.44) 0.783 1.22 (0.80-1.86) 0.350
Free lambda 1.26 (0.99-1.61) 0.055 1.64 (1.21-2.24) 0.002 0.91 (0.63-1.34) 0.644
CRP ≤ 0.6 mg/dL 0.60 (0.51-0.72) < 0.001 0.64 (0.50-0.83) < 0.001 0.52 (0.41-0.67) < 0.001
LD ≤ 250 IU/L 0.58 (0.48-0.70) < 0.001 0.46 (0.36-0.59) < 0.001 0.77 (0.59-1.00) 0.054
ISS 1 (vs. 2, 3) 0.52 (0.41-0.66) < 0.001 0.58 (0.43-0.78) < 0.001 0.56 (0.36-0.86) 0.008
Normal cytogenetic 0.60 (0.50-0.72) < 0.001 0.57 (0.44-0.74) < 0.001 0.67 (0.52-0.87) 0.003

HR, hazard ratio; CI, confidence interval; ECOG PS, Eastern Cooperative Oncology Group performance score; S, bone marrow plasma cell ≥ 60 %; Li, light chain ratio ≥ 100; M, MR lesion > 1; C, hypercalcemia; R, renal insufficiency; A, anemia; B, bone lesion; Ig, immunoglobulin; CRP, C-reactive protein; LD, lactate dehydrogenase; ISS, International Staging System.

Table 6.
Multivariate Cox regression analysis for overall survival
Variable Total
Age < 65 years
Age ≥ 65 years
HR (95% CI) p-value HR (95% CI) p-value HR (95% CI) p-value
Age < 65 years 0.56 (0.46-0.69) < 0.001
ECOG PS 0-1 0.59 (0.48-0.74) < 0.001 0.66 (0.45-0.95) 0.026 0.53 (0.39-0.71) < 0.001
SLiM CRAB
 S (-) 0.84 (0.66-1.08) 0.168 0.99 (0.66-1.49) 0.979
 Li (-) 0.86 (0.61-1.22) 0.398
 C (-) 1.24 (0.91-1.68) 0.173 0.86 (0.53-1.41) 0.547 1.30 (0.84-2.00) 0.236
 R (-) 0.60 (0.47-0.77) < 0.001 0.79 (0.50-1.25) 0.319 0.57 (0.42-0.79) 0.001
 A (-) 1.01 (0.81-1.27) 0.908 0.99 (0.67-1.47) 0.959
M protein type 1.07 (0.69-1.67) 0.748 0.95 (0.64-1.40) 0.777
 IgG 1.04 (0.60-1.80) 0.892
 IgD 1.93 (1.22-3.06) 0.005
 Free lambda
CRP ≤ 0.6 mg/dL 0.71 (0.58-0.87) 0.001 0.80 (0.57-1.13) 0.207 0.70 (0.52-0.94) 0.016
LD ≤ 250 IU/L 0.73 (0.59-0.89) 0.003 0.52 (0.36-0.73) < 0.001
ISS 1 (vs. 2, 3) 0.86 (0.64-1.16) 0.328 1.02 (0.66-1.59) 0.927 0.71 (0.43-1.15) 0.163
Normal cytogenetic 0.74 (0.60-0.91) 0.005 0.73 (0.51-1.04) 0.078 0.73 (0.55-0.97) 0.031

HR, hazard ratio; CI, confidence interval; ECOG PS, Eastern Cooperative Oncology Group performance score; S, bone marrow plasma cell ≥ 60%; Li, light chain ratio ≥ 100; C, hypercalcemia; R, renal insufficiency; A, anemia; Ig, immunoglobulin; CRP, C-reactive protein; LD, lactate dehydrogenase; ISS, International Staging System.

Table 7.
Characteristics of patients who survived ≥ 10 years without relapse after induction therapy compared to those who did not respond to therapy and did not survive for at least 10 years
Variable Survived ≥ 10 years with no relapse Failed and died < 10 years p-value
Number 50 322
Male 25 (50) 195 (61) 0.167
ECOG PS 0.006
 0-1 45 (90) 231 (72)
 ≥ 2 5 (10) 91 (28)
Monoclonal protein 0.134
 IgG 27 (54) 137 (43)
 IgA 10 (20) 60 (19)
 IgD 2 (4) 23 (7)
 Free kappa 4 (8) 45 (14)
 Free lambda 4 (8) 51 (16)
 Non-secretory 3 (6) 6 (2)
CRAB
 C+ 6 (12) 40 (12) 1.000
 R+ 7 (14) 78 (24) 0.146
 A+ 18 (36) 197 (61) 0.001
 B+ 45 (90) 274 (85) 0.513
SLiM
 S+ 5/47 (11) 83/312 (27) 0.018
 Li+ 9/29 (31) 125/227 (55) 0.018
 M+ 19/21 (91) 158/183 (86) 1.000
Albumin < 3.5 gm/dL 28/49 (57) 212/319 (67) 0.203
B2MG > 3.5 mg/L 26/49 (53) 228/318 (72) 0.012
ISS 0.003
 I 16/49 (33) 55/319 (17)
 II 23/49 (47) 125/319 (39)
 III 10/49 (20) 139/319 (44)
R-ISS 0.021
 I 8/23 (35) 24/180 (13)
 II 13/23 (57) 119/180 (66)
 III 2/23 (9) 37/180 (21)
CRP > 0.6 mg/dL 14/46 (30) 132/302 (44) 0.019
LD > 250 IU/L 7/46 (15) 112/309 (36) 0.004
Cytogenetics abnormality 10/41 (24) 171/283 (60) < 0.001
FISH abnormality
 Any 6/23 (26) 113/183 (62) 0.001
 Del(17p) 0/23 16/183 (9) 0.226
 T(4;14) 0/23 28/183 (15) 0.049
 T(14;16) 0/23 1 /183 (0.5) 1.000

Values are presented as number/number (%) or number (%).

ECOG PS, Eastern Cooperative Oncology Group performance score; Ig, immunoglobulin; C, hypercalcemia; R, renal insufficiency; A, anemia; B, bone lesion; S, plasma cell > 60%; Li, light chain ratio > 100; M, MR lesion > 1; B2MG, beta-2 microglobulin; ISS, International Staging System; R-ISS, revised ISS; CRP, C-reactive plan; LD, lactate dehydrogenase; FISH, fluorescent in-situ hybridization.

References
References

REFERENCES

1. Hong J, Lee JH. Recent advances in multiple myeloma: a Korean perspective. Korean J Intern Med 2016;31:820–834.
[Article] [PubMed] [PMC]
2. Hong S, Won YJ, Lee JJ, et al. Cancer statistics in Korea: incidence, mortality, survival, and prevalence in 2018. Cancer Res Treat 2021;53:301–315.
[Article] [PubMed] [PMC]
3. Jung SH, Jo JC, Song GY, et al. Frontline therapy for newly diagnosed patients with multiple myeloma. Blood Res 2020;55:S37–S42.
[Article] [PubMed]
4. Lee JH, Kim SH. Treatment of relapsed and refractory multiple myeloma. Blood Res 2020;55:S43–S53.
[Article] [PubMed]
5. Kim SJ, Kim K, Kim BS, et al. Clinical features and survival outcomes in patients with multiple myeloma: analysis of web-based data from the Korean Myeloma Registry. Acta Haematol 2009;122:200–210.
[Article] [PubMed]
6. Song HH, Lee JH, Park JB, et al. Prognostic factors affecting response to chemotherapy and survival duration in Korean patients with multiple myeloma. Korean J Med 2000;58:83–91.

7. International Myeloma Working Group. Criteria for the classification of monoclonal gammopathies, multiple myeloma and related disorders: a report of the International Myeloma Working Group. Br J Haematol 2003;121:749–757.
[Article] [PubMed]
8. Rajkumar SV, Dimopoulos MA, Palumbo A, et al. International Myeloma Working Group updated criteria for the diagnosis of multiple myeloma. Lancet Oncol 2014;15:e538–e548.
[Article] [PubMed]
9. Greipp PR, San Miguel J, Durie BG, et al. International staging system for multiple myeloma. J Clin Oncol 2005;23:3412–3420.
[Article] [PubMed]
10. Palumbo A, Avet-Loiseau H, Oliva S, et al. Revised international staging system for multiple myeloma: a report from International Myeloma Working Group. J Clin Oncol 2015;33:2863–2869.
[Article] [PubMed] [PMC]
11. Kumar S, Paiva B, Anderson KC, et al. International Myeloma Working Group consensus criteria for response and minimal residual disease assessment in multiple myeloma. Lancet Oncol 2016;17:e328–e346.
[Article] [PubMed]
12. Bergin K, Wellard C, Moore E, et al. The myeloma landscape in Australia and New Zealand: the first 8 years of the Myeloma and Related Diseases Registry (MRDR). Clin Lymphoma Myeloma Leuk 2021;21:e510–e520.
[Article] [PubMed]
13. Kazandjian D. Multiple myeloma epidemiology and survival: a unique malignancy. Semin Oncol 2016;43:676–681.
[Article] [PubMed] [PMC]
14. Kumar SK, Rajkumar V, Kyle RA, et al. Multiple myeloma. Nat Rev Dis Primers 2017;3:17046.
[Article] [PubMed]
15. Bang SM, Cho EK, Suh C, et al. High dose therapy followed by autologous peripheral blood stem cell transplantation as a first line treatment for multiple myeloma: a Korean Multicenter Study. J Korean Med Sci 2003;18:673–678.
[Article] [PubMed] [PMC]
16. Lee JL, Kim SB, Lee GW, et al. The efficacy of high-dose melphalan with autologous peripheral blood stem cell transplantation in patients with multiple myeloma. Yonsei Med J 2003;44:800–810.
[Article] [PubMed]
17. Ko OB, Kim S, Shim H, et al. Double autologous stem cell transplantation for multiple myeloma: a Korean single center study. Korean J Intern Med 2005;20:237–242.
[Article] [PubMed] [PMC]
18. Lee JH, Bang SM. Epidemiological change of multiple myeloma in Korea. Korean J Hematol 2006;41:225–234.
[Article]
19. Kim H, Sohn HJ, Kim S, et al. New staging systems can predict prognosis of multiple myeloma patients undergoing autologous peripheral blood stem cell transplantation as first-line therapy. Biol Blood Marrow Transplant 2006;12:837–844.
[Article] [PubMed]
20. Chong YP, Kim S, Ko OB, et al. Poor outcomes for IgD multiple myeloma patients following high-dose melphalan and autologous stem cell transplantation: a single center experience. J Korean Med Sci 2008;23:819–824.
[Article] [PubMed] [PMC]
21. Kim JS, Kim K, Cheong JW, et al. Complete remission status before autologous stem cell transplantation is an important prognostic factor in patients with multiple myeloma undergoing upfront single autologous transplantation. Biol Blood Marrow Transplant 2009;15:463–470.
[Article] [PubMed]
22. Kim JE, Yoo C, Lee DH, Kim SW, Lee JS, Suh C. Serum albumin level is a significant prognostic factor reflecting disease severity in symptomatic multiple myeloma. Ann Hematol 2010;89:391–397.
[Article] [PubMed]
23. Lee JH, Lee DS, Lee JJ, et al. Multiple myeloma in Korea: past, present, and future perspectives. Experience of the Korean Multiple Myeloma Working Party. Int J Hematol 2010;92:52–57.
[Article] [PubMed]
24. Kim MK, Suh C, Lee DH, et al. Immunoglobulin D multiple myeloma: response to therapy, survival, and prognostic factors in 75 patients. Ann Oncol 2011;22:411–416.
[Article] [PubMed]
25. Jo JC, Kang BW, Sym SJ, et al. Initial cytoreductive treatment with thalidomide plus bolus vincristine/doxorubicin and reduced dexamethasone followed by autologous stem cell transplantation for multiple myeloma. Invest New Drugs 2011;29:175–181.
[Article] [PubMed]
26. Kang J, Hong JY, Yoon DH, et al. Efficacy and survival outcome associated with the use of novel agents and autologous stem cell transplantation in cases of immunoglobulin D multiple myeloma in Korea. Acta Haematol 2018;139:185–192.
[Article] [PubMed]
27. Cho H, Kim S, Lee K, Park JS, Suh C. Real-world experience of improvement in the survival of lymphoma and myeloma patients with autologous stem cell transplantation over a 25-year period. Korean J Med 2021;96:501–511.
[Article]
Memo patch ics

Go to Top