혈액투석 환자에서 혈관접근로의 동맥 미세석회화가 관상동맥 석회화와 심혈관 사망률에 끼치는 영향
- 이영복1, 최보미1, 황현석1, 박훈석1, 박순철2, 김영옥1
The Impact of Arterial Micro-calcification of the Vascular Access on Coronary Artery Calcification and Cardiovascular Mortality in Incident Hemodialysis Patients
- Yeong Bok Lee1, Bo Mi Choi1, Hyeon Seok Hwang1, Hoon Suk Park1, Sun Chul Park2, Young Ok Kim1
- Received February 16, 2017; Revised April 13, 2017; Accepted May 1, 2017;
- Abstract
-
- 목적
- 혈액투석 환자에서 혈관접근로의 AMiC와 관상동맥 석회화 간의 상관관계 및 AMiC 유무가 심혈관 사망률에 미치는 영향을 조사하였다.
- 방법
- 2011년 4월부터 2015년 5월까지 혈관접근로 수술과 CACS 검사를 시행한 119명의 환자를 대상으로 하였다. 혈관접근로의 AMiC는 수술 중 획득한 동맥 표본의 von Kossa 염색으로 진단하였다. 모든 환자는 비조영 증강 다중 검출 컴퓨터단층촬영을 시행하여 CACS를 계산하였다. 대상 환자에서 AMiC와 CACS의 상관관계를 조사하였다. 또한 2017년 2월까지 추적 조사하였고 환자를 AMiC 유무에 따라 두 군으로 나누어 심혈관 사망률을 비교하였다.
- 결과
- 남녀 대상자 수는 각각 76명(64%)과 43명(36%)이었고 평균 나이는 64.3 ± 13.0세였다. 67명(56%)의 환자에서 von Kossa 염색에서 혈관접근로의 AMiC가 관찰되었고 평균 CACS는 430.4 ± 720.2였으며 99명(83%)의 환자에서 관상동맥 석회화가 관찰되었다. 다중 로지스틱회귀분석 결과 CACS(OR: 1.002, 95% CI: 1.001-1.004, p< 0.05)는 AMiC와 유의한 상관관계를 보였다. 추적 관찰 기간 동안 전체 사망은 26명이었고 그중 17명이 심혈관 사망이었다. Kaplan-Meier 생존분석에서 AMiC 양성인 군에서 음성인 군에 비해 심혈관 사망률(log rank = 9.0, p< 0.05)이 유의하게 높았다.
- 결론
- 본 연구는 혈액투석 환자에서 AMiC와 CACS와 밀접하게 연관되어 있으며 AMiC와 CACS는 심혈관 질환 사망의 위험 인자임을 시사한다.
- Abstract
-
- Background/Aims
- The aim of this study was to explore the relationship between arterial micro-calcification (AMiC) and coronary artery calcification, and to determine the impact of AMiC on cardiovascular mortality in incident hemodialysis patients.
- Methods
- One hundred and nineteen hemodialysis patients who received vascular access surgeries between April 2011 and May 2015 were included in this study. AMiC was diagnosed by pathologic examination of arterial specimens acquired during surgery, using von Kossa stain. All patients underwent multi-detector computed tomography imaging, and coronary artery calcium scores (CACS) were calculated. We evaluated the association between AMiC and CACS in these patients, and examined the incidence of cardiovascular death (through Febraury 2017) in patients with and without AMiC.
- Results
- The mean age of the patient group was 64.3 ± 13.0 years, and 64% were male (n = 76). Of 119 patients, 67 (56.3%) were positive for AMiC of the vascular access. The mean CACS was 430.4 ± 720.2 (0-3,954), and 99 patients were considered positive for CAC (83.1%). By multivariate logistic regression analysis, CACS was independently associated with AMiC. The mean follow- up period was 35.5 ± 17.8 months. During this time there were 26 all-cause deaths, of which 17 were cardiovascular. Kaplan-Meier survival analysis revealed that AMiC was associated with cardiovascular mortality (log rank = 9.0, p < 0.05).
- Conclusions
- AMiC may be associated with coronary artery calcification in incident hemodialysis patients, and may also be a risk factor for cardiovascular mortality.
- 서 론
- 서 론
혈액투석 환자에서 심혈관 질환은 주요 사망 원인이며, 일반 인구집단에 비해 이환율 및 사망률이 높은 것으로 알려져 있다[1,2]. 따라서 혈액투석 환자에서 심혈관 질환의 발생을 조기에 예측하고 진단하는 것이 임상적 예후에 중요하다. 그러나 혈액투석 환자는 심혈관 질환이 발생할 때까지 무증상인 경우가 많고 일반 인구집단에서 잘 알려진 심혈관 질환의 임상적 위험 인자들만으로는 예측이 어려우며 심혈관 질환 발생의 바이오마커(homocysteine, brain natriuretic peptide 등) 또한 적용이 어려워 심혈관 질환 발생의 예측과 조기 진단이 어렵다[3]. 따라서 혈액투석 환자에서 심혈관 질환 발생의 예측과 조기 진단을 위한 지표에 대한 연구가 필요하다.주로 영상학적 검사로 확인되는 관상동맥 석회화는 죽상경화증(atherosclerosis)의 일환으로 나타나기 때문에 주로 내막층에 주로 발생하나 혈액투석 환자에서는 내막 외에도 중막층까지 확산되어 나타나기도 한다[4]. 관상동맥 칼슘수치(coronary artery calcium score, CACS)는 관상동맥 질환의 비침습적인 지표로 관상동맥 석회화 정도를 정확하고 정량적으로 평가할 수 있는 검사이다. 혈관 석회화는 일반인과 혈액투석 환자 모두에서 심혈관 사망의 독립 위험 인자로 알려져 있다[5-8]. 이에 반해 혈액투석 환자의 혈관접근로 수술 시에 수술 부위 동맥에서 조직학적으로 조사한 동맥미세석회화(arterial micro-calcification, AMiC)는 동맥경화증(arteriosclerosis)의 주요 소견이다. 혈액투석 환자에서 혈관접근로 수술 시에 쉽게 동맥조직을 획득할 수 있기 때문에 병리학적 변화에 대한 연구가 보고되고 있다. 저자들은 혈액투석 환자에서 혈관접근로의 AMiC가 심혈관 질환 사망률 증가와 관련이 있다고 보고한 바 있다[9]. 혈관접근로의 AMiC가 심혈관 사망률을 증가시키는 기전에 대해서는 현재까지 잘 알려져 있지 않다. 저자들은 미세석회화가 대동맥 등의 다른 부위의 동맥경화증과 유사하게 심혈관 사망률의 위험 인자인 동맥경직을 증가시킨다고 보고한 바 있다[10].혈관접근로의 AMiC와 CACS는 석회화의 발생 기전이 다르나 혈액투석 환자에서 흔하게 발생하므로 관련성이 있을 것으로 추정된다. 이에 저자들은 첫째, 혈액투석을 새로이 시작하는 환자에서 AMiC, CACS와 높은 심혈관 사망률과의 관련성을 확인하고, 둘째, 서로 다른 기전의 석회화가 관련성이 있는지를 조사하여 이를 통해 혈관접근로의 AMiC가 어떤 기전으로 높은 심혈관 사망률과 관련이 있는지를 규명하기 위해 본 연구를 시행하였다.
- 대상 및 방법
- 대상 및 방법
- 대상
- 대상
본 연구는 후향적, 단일기관 연구로 2011년 4월부터 2015년 5월까지 의정부성모병원에 내원한 말기 신부전 환자 중 혈액투석을 시작하고 1개월 이내에 혈관접근로 수술과 CACS 검사를 시행한 119명의 환자를 대상으로 하였다. 대상환자들의 의무기록 분석을 통하여 연령, 성별, 흡연력, 동반 질환 및 관상동맥 질환, 뇌혈관 질환 등의 병력을 조사하였으며 신장과 체중을 측정하여 체질량지수(body mass index, BMI)를 구하였다. 본 연구는 가톨릭중앙의료원 임상연구심사위원회(Institutional Review Board UC13RISSI0137)의 연구 승인을 받았다.- 방법
- 방법
혈관 질환의 진단은 임상적 기준과 진단 검사를 기초로 하였다. 관상동맥 질환은 스트레스 검사에서 양성이었거나 급성 관상동맥 증후군이나 심근경색을 일으켰거나 경피적 관상동맥중재술 또는 관상동맥 우회 수술을 받은 경우로 정의하였다. 뇌혈관 질환의 진단은 허혈성 또는 출혈성 뇌졸중이나 일시적인 허혈적 발작이 있었거나 뇌 컴퓨터단층촬영 또는 자기공명영상촬영에서 뇌경색이 발견된 경우로 정의하였다. 말초동맥 질환의 진단은 팔다리 파행, 허혈성 궤양, 절단술의 병력, 혈관 재개통술 또는 초음파나 혈관조영술에서 이전의 폐색 진단이 있는 경우로 정의하였다.- 혈액학적 검사
- 혈액학적 검사
대상 환자의 헤모글로빈, 알부민, 칼슘, 인, 완전한 부갑상선 호르몬(intact PTH, iPTH), C-반응성 단백질(C-reative protein, CRP) 및 총 콜레스테롤, 중성지방, 고밀도 콜레스테롤 및 저밀도 콜레스테롤 등은 혈액투석을 시작하기 전 수술 당시의 검사 결과를 조사하였다.- 혈관접근로 AMiC의 병리학적 검사
- 혈관접근로 AMiC의 병리학적 검사
혈관접근로 수술 중 동맥 검체는 이전에 보고한 방법과 동일한 방법으로 얻었다[11]. 요골동맥 또는 상완동맥의 5 mm 길이 방향 절편을 절개 부위에서 타원형으로 절제하였다. 조직 절편은 hematoxylin-eosin로 염색하고 석회화 유무는 von Kossa 염색을 하여 진단하였다. 환자의 임상 정보를 알지 못하는 전문 병리학자가 표본을 분석하였다. AMiC 양성은 von Kossa 염색에서 붉은 색의 주위 조직에 갈색 또는 검은색으로 나타나는 칼슘 침전물이 관찰될 때로 정의하였다.- CACS 측정
- CACS 측정
관상동맥 칼슘스캔은 베타차단제로 맥박수 60회 미만으로 유지한 후 128채널 비조영 증강 다중 검출 컴퓨터단층촬영(GE Imatron, South San Francisco, CA, USA)을 시행하였다. 관상동맥은 15초의 단일 호흡 동안 심전도에서 심장 이완기일 때 5 mm 두께의 30-40개의 연속 이미지로 영상화되었다. 관상동맥 석회화는 밀도가 130 hounsfield 단위 이상인 최소 3개 이상의 연속 픽셀의 플라크가 있는 경우로 정의된다. CACS는 Agatston 등[12]이 기술한 바와 같이 계산하였다. CACS는 4개의 주요 관상동맥 각각의 개별 병변 점수를 합산하여 나타내었다. CACS에 따른 사망률 비교를 위해 환자들은 Rumberger 등[13]의 제안을 변형하여 CACS에 따라 0, 1-100, 101-400, > 400의 4군으로 나누었다.- 임상 경과 추적
- 임상 경과 추적
대상자의 추적 조사는 2017년 2월까지의 의무기록 분석으로 조사하였다. 추적 소실된 경우 유선으로 환자 본인이나 가족을 통해 입원 치료 여부나 사망 여부를 조사하였다. 심혈관 질환 사망은 급성 심근경색, 심부전, 뇌혈관 질환 및 급성 심장사로 정의하였다. 대상자의 추적 종료 시점은 사망, 추적 소실, 복막투석으로 전환, 신장이식 그리고 연구 종료시점인 2017년 2월까지로 하였다. 환자를 AMiC 유무에 따라 두 군으로 나누어 연구 기간 동안 환자 전체 사망률과 심혈과 사망률을 비교하였다.- 통계 분석
- 통계 분석
측정치는 변수에 따라 평균 ± 표준편차로 표시하였고 AMiC 유무에 따른 두 군의 임상지표를 비교하기 위해 독립표본 T검정과 카이제곱검정을 이용하였다. AMiC에 영향을 주는 인자들의 분석을 위해 로지스틱회귀분석을 이용하였다. AMiC 유무와 CACS 4군에 따른 생존율 추정을 위해 Kaplan-Meier 생존분석을 이용하였고 생존율 비교를 위해 로그순위법을 이용하였다. 모든 통계의 유의성 판정은 p< 0.05 일 때 통계학적으로 유의한 것으로 판정하였다.
- 결 과
- 결 과
- 대상자의 특성
- 대상자의 특성
남녀 대상자 수는 각각 76명(64%)과 43명(36%)이었고 평균 나이는 64.3 ± 13.0세였다. 말기 신부전의 원인 질환은 당뇨 74명(62.2%), 고혈압 28명(23.5%), 만성 사구체신염 16명(13.4%), 다낭성 신질환 1명(0.8%)이었다. 관상동맥 질환의 병력이 있는 환자는 4명(3.4%), 뇌혈관 질환을 경험한 환자는 14명(11.8%), 말초혈관 질환을 가진 환자는 1명(0.8%)이었다. 혈액 검사 결과 칼슘, 인, 부갑상선 호르몬 수치는 7.7 ± 1.0 mg/dL, 5.8 ± 2.1 mg/dL, 203.0 ± 139.6 pg/mL였다(Table 1).- CACS, 혈관접근로의 AMiC
- CACS, 혈관접근로의 AMiC
평균 CACS는 430.4 ± 720.2였고 0부터 3,954까지 분포하였다. CACS에 따른 4군의 환자 수는 각각 20명, 32명, 27명, 40명이었고 평균 CACS는 각각 0, 33.2 ± 5.3, 192.0 ± 13.6, 1,124.3 ± 142.1이었다. 119명의 환자 중 67명(56%)의 환자에서 von Kossa 염색에서 혈관접근로의 AMiC가 관찰되었다. AMiC는 von Kossa 염색으로만 검출되었고 주로 동맥 중간막에 위치하거나 속탄력층 바로 아래에 선형으로 침착되어 있었다(Fig. 1). 석회화는 조직 전체에 분산되어 있었고 일부의 경우에는 석회화된 치밀한 플라크가 동맥 내막에서 관찰되었다.- AMiC 유무에 따른 임상 인자 비교
- AMiC 유무에 따른 임상 인자 비교
표 1에서 AMiC 유무에 따른 두 군 간 환자들의 임상적 요인과 검사 결과를 정리하였다. AMiC 양성인 군은 음성인군과 비교하여 고령(67.6 ± 10.6 vs. 60.0 ± 14.6, p< 0.05)이었고 남자 환자의 비율(73.1% vs. 51.9%, p< 0.05)이 높았으며 당뇨병의 유병률(79.1% vs. 50.0%, p< 0.05)이 높았다. 혈액검사 결과는 칼슘(7.8 ± 0.8 vs. 7.5 ± 1.1, p< 0.05) 수치만이 AMiC 양성인 군이 음성인 군에 비해 통계학적으로 유의하게 높았다. 임상적 요인 중 흡연 상태, BMI, 고혈압 유병률, 심혈관 질환의 과거력은 두 군 간에 유의한 차이가 없었다. 사구체여과율, 지질 프로필, 혈청 인 및 iPTH, CRP 등 혈액학적 검사 결사 또한 두 군 간에 유의한 차이가 없었다.- AMiC의 위험 인자
- AMiC의 위험 인자
단변수 분석에서 AMiC 양성인 군은 고령(odds ratio [OR]: 1.020, 95% confidence interval [CI]: 1.018-1.083, p< 0.05), 남성(OR: 2.521, 95% CI: 1.171-5.426, p< 0.05), 당뇨병(OR: 3.786, 95% CI: 1.699-8.438, p< 0.05) 및 혈청 칼슘 수치(OR: 1.544, 95% CI: 1.027-2.321, p< 0.05)와 유의한 상관관계를 보였다(Table 2). 위의 위험 인자에 대한 다변수 조정 후에도 고령(OR: 1.039, 95% CI: 1.002-1.087, p< 0.05)과 당뇨(OR: 2.997, 95% CI: 1.184-7.584, p< 0.05)는 AMiC와 유의한 상관관계를 보였다(Table 2).- AMiC와 CACS의 연관성
- AMiC와 CACS의 연관성
AMiC 양성인 군은 음성인 군과 비교해 CACS (569.9 ± 836.5 vs. 134.7 ± 369.2, p< 0.05)가 유의하게 높았다(Table 1).CACS에 따른 4군에서 AMiC 양성인 환자 수의 비율은 각 각 10.0%, 34.4%, 66.7%, 90.0%로 CACS가 높은 군일수록 혈관접근로의 AMiC 양성의 빈도가 유의하게 높았다(p< 0.05, Fig 2).단변수 분석에서 AMiC 양성인 군은 CACS (OR: 1.003, 95% CI: 1.001-1.004, p< 0.05)와 유의한 양의 상관관계를 보였으며, AMiC의 위험 인자에 대한 다변수 조정 후에도 CACS (OR: 1.002, 95% CI: 1.001-1.004, p< 0.05)는 AMiC와 유의한 상관관계를 보였다(Table 2).- 심혈관 사망률 및 전체 사망률
- 심혈관 사망률 및 전체 사망률
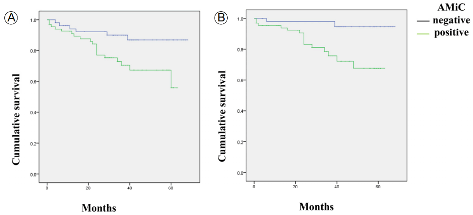
평균 35.5 ± 17.8개월의 추적 관찰 기간 동안 119명의 환자 중 전체 사망은 26명, 심혈관 사망은 17명에서 발생하였다(Table 3). Kaplan-Meier 생존분석에서 AMiC 양성인 군이 음성인 군보다 전체 사망률(log rank = 5.7, p< 0.05; Figure 3A)과 심혈관 사망률(log rank = 9.0, p<0.05; Figure 3B) 모두 유의하게 높았다. 또한, CACS가 높은 군일수록 전체 사망률(log rank = 8.0, p< 0.05; Figure 4A)과 심혈관 사망률(log rank = 11.5, p<0.05; Figure 4B) 모두 유의하게 높았다.
- 고 찰
- 고 찰
혈액투석 환자에서 혈관접근로 AMiC는 혈관접근로 기능 이상뿐만 아니라 심혈관 사망률과도 관련이 있는 것으로 알려져 있다[7,8,14]. 혈관접근로 AMiC가 어떤 기전으로 높은 심혈관 사망률과 관련이 있는지에 대한 연구는 아직 잘 알려져 있지 않다. 본 연구는 혈액투석을 시작하는 환자에서 흔하게 관찰되는 혈관접근로 AMiC와 심혈관 질환 발생률과 사망률의 예측 인자로 알려진 관상동맥 석회화와의 상관관계 및 AMiC 유무와 CACS에 따른 전체 사망률 및 심혈관 사망률을 알아보고자 하였다. 연구 결과 AMiC 양성인 군에서 CACS가 유의하게 높았다. 또한 AMiC 양성인 군과 CACS가 높은 군에서 전체 사망률과 심혈관 사망률이 유의하게 증가하였다. 그러므로 혈액투석 환자에서 혈관접근로 AMiC는 동맥경직뿐만 아니라 관상동맥 석회화를 통하여 심혈관 사망률을 증가시키는 것으로 사료된다.국내의 최근 보고에 의하면, 혈액투석 환자의 48.3%에서 혈관 질환을 동반하고 있으며 36%에서 심혈관 질환으로 사망한다[15]. 따라서 혈액투석 환자에서 심혈관 질환의 적절한 예방과 조기 진단이 임상적 예후에 중요할 것으로 보이나 고령과 당뇨를 동반한 환자의 비율이 빠르게 증가하는 추세로 질환이 진행할 때까지 무증상인 경우가 많고 일반 인구집단의 심혈관 질환 발생 위험 인자를 그대로 적용하여 질환 발생을 예측하는 것도 어렵다. 따라서 역학조사를 통한 혈액투석 환자의 심혈관계 질환의 위험 인자 분석이나 발생을 미리 예측할 수 있는 검사법을 찾기 위한 연구들이 있었다.Adragao 등[16]은 123명의 유지 혈액투석 환자를 대상으로 골반과 수부의 단순 방사선 촬영을 시행하여 혈관 석회화 정도를 점수화한 방법으로 비교한 연구에서 혈관 석회화 점수가 높은 군이 낮은 군에 비해 심혈관 발생률 및 사망률이 높았다고 보고하였다.혈관 석회화를 검사하는 다른 방법으로 2001년 Blacher 등[17]은 110명의 혈액투석 환자에서 초음파를 이용하여 경동맥, 복부 대동맥, 장대퇴골 동맥, 하지 동맥 4부위의 혈관 석회화를 검사하여 점수화한 후 비교하였는데 석회화 점수가 1점 증가할 때 전체 사망률과 심혈관 사망률이 각각 1.9와 2.6배 증가한다고 발표하였다.혈관 석회화를 평가하는 방법으로 단순 방사선 촬영, 전산화단층촬영, 초음파, 맥박파 전파속도(pulse wave velocity) 등이 있다. 초음파는 방사선 노출이 없고 경동맥이나 하지 동맥도 검사가 가능하다는 장점이 있으나 평가가 주관적이라는 단점이 있으며, 반면 단순 방사선 촬영은 비용이 적게 들고 쉽게 검사가 가능하나 석회화 정도를 정량화하는 평가 방법이 체계화되어 있지 않다[18].AMiC를 병리학적으로 진단하는 것은 침습적인 검사로 동맥 조직을 획득해야 하기 때문에 임상적으로 적용하는 것은 어려운 일이다. 그러나 말기 신부전 환자는 혈액투석을 위해 혈근접근로 수술 시에 동맥 조직을 획득하는 것이 추가 시술없이 이루어질 수 있어 AMiC 여부를 진단하는 것이 어렵지 않으며 영상학적 검사법에 비해 초기 단계의 석회화를 진단할 수 있어 혈액투석을 시작하는 환자에서 임상적 예후를 예측하는 검사로 고려할 수 있다.혈액투석 환자에서 CACS가 전 원인 사망률 및 심혈관 사망률의 예측 인자임을 보고한 여러 연구들이 있다. Matsuoka 등[7]과 Shantouf 등[19]은 혈액투석 환자에서 CACS를 측정하여 임상 경과를 추적한 결과 CACS가 전체 또는 심혈관 사망률의 독립적인 예측 인자라고 보고하였다. 영상검사를 이용한 CACS 측정은 민감도와 특이도가 높은 검사로 운동부하 검사나 심근관류스캔, 심장 초음파 등 다른 비침습적인 심장 검사에 비해 정확도에서 유리하고 간단하게 시행할 수 있는 검사로 혈액투석을 시작하는 환자에서 투석 시작 당시 심혈관 질환을 동반하고 있을 가능성이 높고 고령, 당뇨 등 심혈관 질환의 위험 인자를 동반하고 있는 경우가 많기 때문에 임상적 예후를 예측하는 검사로 유용할 것으로 생각된다.혈액투석 환자에서 혈관접근로 수술에 가장 흔하게 사용하는 동맥인 요골동맥은 진행된 관상동맥 질환 환자에서 병리조직학적 검사를 시행한 결과 속유선동맥이나 복재정맥보다 요골동맥에서 중간막 석회화의 발생률이 높은 것으로 보고된 바 있다[20]. Deshpande 등[21]은 관상동맥 우회로 수술을 시행한 130명의 환자를 대상으로 통로로 사용한 요골동맥의 병리조직학적 검사를 시행하였고, 이 연구에서 130명 중 4명의 환자에서 석회화가 관찰되었으며 4명 모두 기저 질환으로 당뇨와 심한 신기능 저하가 있던 환자였다. 이 연구들은 진행된 관상동맥 질환과 요골동맥 석회화 간에 상관관계가 있음을 시사한다.혈관 석회화의 위험 인자로 고령, 당뇨, 고혈압, 고지혈증 등의 고전적인 위험 인자 외 높은 혈청 칼슘 및 인 수치, 염증, 산화 스트레스 등이 알려져 있다[22]. 그러나 본 연구에서는 AMiC가 고령, 남성, 당뇨, 칼슘 수치와 상관관계를 보였으나 이전 연구에서 상관관계가 있다고 보고된 적 있는 지질대사 이상이나 혈청 인, 칼슘 × 인 수치 및 CRP와는 상관관계를 보이지 않았다. 이러한 여러 연구들의 상반된 결과들 및 일반 인구집단과 다른 양상으로 인해 혈액투석 환자에서 혈관 석회화의 위험 인자가 확실히 정립되지 않아 향후 보다 많은 환자를 대상으로 추가 연구가 필요할 것으로 생각된다.본 연구는 다음과 같은 제한점이 있다. 첫째, 대상군의 수가 적었고 둘째, 혈액투석을 받는 말기 신부전 환자만을 대상으로 하였기 때문에 투석 전 만성 신부전 단계에 따른 AMiC와 CACS, 혈관 석회화의 위험 인자들 간의 연관관계를 연구하지 못하였다.결론적으로, 혈액투석 환자에서 혈관접근로의 AMiC와 CACS는 심혈관 사망의 위험 인자이며 서로 유의한 상관관계가 있었다. 말기 신부전 환자에서 심혈관 질환 발생의 예측이나 조기 진단을 위한 위험 인자 및 검사법에 대한 연구가 필요할 것으로 생각된다.
Figure 1.
Histologic findings at the vascular access (×200). (A) No calcification. (B) Diffuse brown, von Kossa staining of calcification observed in the medial layer of the vascular access.
Figure 2.
The proportion of patients positive for arterial micro-calcification, by coronary artery calcium score category.
Figure 3.
Kaplan-Meier survival curves for all-cause mortality and cardiovascular mortality of patients with and without arterial micro-calcification of the vascular access. (A) All-cause mortality (log rank = 5.7, p < 0.05), (B) cardiovascular mortality (log rank = 9.0, p < 0.05). AMiC, arterial micro-calcification.
Figure 4.
Kaplan-Meier survival curves for all-cause mortality and cardiovascular mortality across the four groups defined by coronary artery calcium scores (0, 1-100, 101-400, > 400). (A) All-cause mortality (log rank = 8.0, p < 0.05), (B) cardiovascular mortality (log rank = 11.5, p < 0.05). CACS, coronary artery calcium score.
Table 1.
Baseline characteristics of the patients
| Characteristics | Total (n = 119) | AMiC (+) (n = 67) | AMiC (-) (n = 52) | p value |
|---|---|---|---|---|
| Age, yr | 64.3 ± 13.0 | 67.6 ± 10.6 | 60.0 ± 14.6 | < 0.05* |
| Male gender | 76 (63.9) | 49 (73.1) | 27 (51.9) | < 0.05* |
| Current smoker | 21 (17.6) | 11 (16.4) | 10 (19.2) | 0.690 |
| BMI, kg/m2 | 23.8 ± 4.8 | 23.7 ± 4.5 | 23.9 ± 5.1 | 0.853 |
| CACS | 430.4 ± 720.2 | 569.9 ± 836.5 | 134.7 ± 369.2 | < 0.05* |
| Cobormid condition | ||||
| DM | 79 (66.4) | 53 (79.1) | 26 (50.0) | < 0.05* |
| Hypertension | 110 (92.4) | 64 (95.5) | 46 (88.5) | 0.148 |
| CAD | 4 (3.4) | 4 (6.0) | 0 (0) | 0.073 |
| CVD | 14 (11.8) | 10 (14.9) | 4 (7.7) | 0.224 |
| PAD | 1 (0.8) | 0 (1.5) | 0 (0) | 0.376 |
| Laboratory findings | ||||
| Hemoglobin, g/dL | 9.3 ± 1.4 | 9.5 ± 1.3 | 9.1 ± 1.5 | 0.123 |
| MDRD-eGFR, mL/min | 7.9 ± 2.9 | 8.4 ± 2.9 | 7.4 ± 2.9 | 0.058 |
| Albumin, g/dL | 3.4 ± 1.0 | 3.4 ± 1.2 | 3.3 ± 0.7 | 0.912 |
| Total cholesterol, mg/dL | 167.7 ± 50.0 | 169.4 ± 47.4 | 165.5 ± 53.7 | 0.695 |
| Triglyceride, mg/dL | 135.0 ± 76.8 | 132.3 ± 56.3 | 138.8 ± 98.6 | 0.686 |
| HDL-cholesterol, mg/dL | 38.9 ± 26.4 | 37.0 ± 11.5 | 41.4 ± 38.0 | 0.471 |
| LDL-cholesterol, mg/dL | 102.8 ± 38.1 | 106.8 ± 36.9 | 97.5 ± 39.5 | 0.239 |
| Calcium, mg/dL | 7.7 ± 1.0 | 7.8 ± 0.8 | 7.5 ± 1.1 | < 0.05* |
| Phosphorus, mg/dL | 5.8 ± 2.1 | 5.8 ± 1.7 | 6.3 ± 2.5 | 0.058 |
| Ca × P product | 44.0 ± 13.5 | 42.8 ± 12.9 | 45.4 ± 14.2 | 0.317 |
| iPTH, pg/mL | 203.0 ± 139.6 | 191.6 ± 143.0 | 217.9 ± 135.5 | 0.394 |
| CRP, mg/dL | 1.0 ± 2.1 | 1.1 ± 2.3 | 0.9 ± 1.8 | 0.521 |
| HbA1c, % | 6.6 ± 1.4 | 6.6 ± 1.4 | 6.5 ± 1.5 | 0.731 |
Values are presented as mean ± standard deviation or n (%).
AMiC, arterial micro-calcification; BMI, body mass index; CACS, coronary artery calcium score; DM, diabetes mellitus; CAD, coronary arterial disease; CVA, cerebrovascular accident; PAD, peripheral arterial disease; MDRD-eGFR, modification of diet in renal disease -estimated glomerular filtration rate; LDL, low density lipoprotein; iPTH, intact parathyroid hormone; CRP, C-reactive protein.
Table 2.
Association between arterial micro-calcification and other parameters
Table 3.
Causes of death
| Event | Total | AMiC (+) | AMiC (-) |
|---|---|---|---|
| All-cause death | 26 | 20 | 6 |
| Non-CV death | 9 | 5 | 4 |
| Infection | 6 | 4 | 2 |
| Malignancy | 3 | 1 | 2 |
| CV death | 17 | 15 | 2 |
| Sudden cardiac death | 11 | 9 | 2 |
| AMI | 3 | 3 | 0 |
| CVA | 3 | 3 | 0 |
- References
- References
REFERENCES
1. Causes of death. United States Renal Data System. Am J Kidney Dis 1998;32(2 Suppl 1):S81–S88.
[Article] [PubMed]2. Park JT, Oh HJ, Kang SW. Cardiovascular disease in end-stage renal disease. J Korean Med Assoc 2013;56:576–582.
[Article]3. Desai AA, Nissenson A, Chertow GM, et al. The relationship between laboratory-based outcome measures and mortality in end-stage renal disease: a systematic review. Hemodial Int 2009;13:347–359.
[Article] [PubMed]4. Schwarz U, Buzello M, Ritz E, et al. Morphology of coronary atherosclerotic lesions in patients with end-stage renal failure. Nephrol Dial Transplant 2000;15:218–223.
[Article] [PubMed]5. Kramer CK, Zinman B, Gross JL, et al. Coronary artery calcium score prediction of all-cause mortality and cardiovascular events in people with type 2 diabetes: systematic review and meta-analysis. BMJ 2013;346:f1654.
[Article] [PubMed]6. Detrano R, Guerci AD, Carr JJ, et al. Coronary calcium as a predictor of coronary events in four racial or ethnic groups. N Engl J Med 2008;358:1336–1345.
[Article] [PubMed]7. Matsuoka M, Iseki K, Tamashiro M, et al. Impact of high coronary artery calcification score (CACS) on survival in patients on chronic hemodialysis. Clin Exp Nephrol 2004;8:54–58.
[Article] [PubMed]8. Block GA, Raggi P, Bellasi A, Kooienga L, Spiegel DM. Mortality effect of coronary calcification and phosphate binder choice in incident hemodialysis patients. Kidney Int 2007;71:438–441.
[Article] [PubMed]9. Yun YS, Choi SJ, Lee JY, et al. Impact of arterial microcalcification of the vascular access on cardiovascular mortality in hemodialysis patients. Hemodial Int 2014;18:54–61.
[Article] [PubMed]10. Kim HG, Park SC, Kim YO, et al. Arterial micro-calcification of vascular access is associated with aortic arch calcification and arterial stiffness in hemodialysis patients. Semin Dial 2013;26:216–222.
[Article] [PubMed]11. Kim YO, Song HC, Yoon SA, et al. Preexisting intimal hyperplasia of radial artery is associated with early failure of radiocephalic arteriovenous fistula in hemodialysis patients. Am J Kidney Dis 2003;41:422–428.
[Article] [PubMed]12. Agatston AS, Janowitz WR, Hildner F, Zusmer NR, Viamonte M Jr, Detrano R. Quantification of coronary artery calcium using ultrafast computed tomography. J Am Coll Cardiol 1990;15:827–832.
[Article] [PubMed]13. Rumberger JA, Brundage BH, Rader DJ, Kondos G. Electron beam computed tomographic coronary calcium scanning: a review and guidelines for use in asymptomatic persons. Mayo Clin Proc 1999;74:243–252.
[Article] [PubMed]14. Choi SJ, Yoon HE, Kim YO, et al. Pre-existing arterial micro-calcification predicts primary unassisted arteriovenous fistula failure in incident hemodialysis patients. Semin Dial 2015;28:665–669.
[Article] [PubMed]15. Jin DC, Yun SR, Lee SW, Han SW, Kim W, Park J. Current characteristics of dialysis therapy in Korea: 2015 registry data focusing on elderly patients. Kidney Res Clin Pract 2016;35:204–211.
[Article] [PubMed] [PMC]16. Adragao T, Pires A, Lucas C, et al. A simple vascular calcification score predicts cardiovascular risk in haemodialysis patients. Nephrol Dial Transplant 2004;19:1480–1488.
[Article] [PubMed]17. Blacher J, Guerin AP, Pannier B, Marchais SJ, London GM. Arterial calcifications, arterial stiffness, and cardiovascular risk in end-stage renal disease. Hypertension 2001;38:938–942.
[Article] [PubMed]18. Karohl C, D'Marco Gascón L, Raggi P. Noninvasive imaging for assessment of calcification in chronic kidney disease. Nat Rev Nephrol 2011;7:567–577.
[Article] [PubMed]19. Shantouf RS, Budoff MJ, Ahmadi N, et al. Total and individual coronary artery calcium scores as independent predictors of mortality in hemodialysis patients. Am J Nephrol 2010;3:419–425.
[Article]20. Kane-Toddhall SM, Taggart DP, Clements-Jewery H, Roskell DE. Pre-existing vascular disease in the radial artery and other coronary artery bypass conduits. Eur J Med Res 1999;4:11–14.
[PubMed]
